• Предмет: Математика
  • Автор: helloooo89
  • Вопрос задан 8 лет назад

помогите пожалуйста
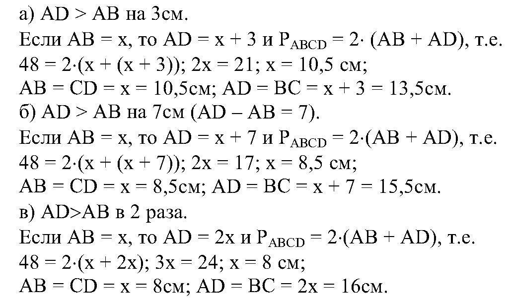
периметр параллелограмма равен 48 см
найдите стороны параллелограмма, если:
а) одна сторона на 3 см больше другой
б) разность двух сторон равна 7 см
в) одна из сторон в два раза больше другой
желательно с дано
заранее спасибо

Ответы

Ответ дал: dioctiv
0

Так смотри где фото перепиши только б и в

вот а Пусть одна сторона х см, тогда вторая (х+2) см  

Р=2(а+в) , значит 2(х+(х+2))=48  

х+х+2=24  

2х+2=24  

2х=22  

х=11  

х+2=13  

Ответ: 11 см, 11см, 13 см, 13см

Приложения:
Вас заинтересует