Срочно помогите решить по информатике примеры двоичные, десятеричные системы счисления, задание на фото
Приложения:
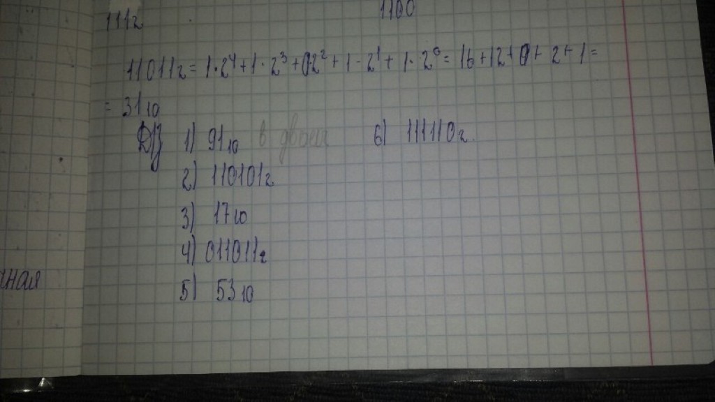
Ответы
Ответ дал:
0
1) (1011011)2
2) (53)10
3) (10001)2
4) (27)10
5) (110101)2
6) (62)10
Решение во вложении
Приложения:
Ответ дал:
0
Спасибо большое!!!
Вас заинтересует
2 года назад
3 года назад
9 лет назад
9 лет назад
10 лет назад