• Предмет: Алгебра
  • Автор: marinakltsv23
  • Вопрос задан 8 лет назад

Помогите пожалуйста

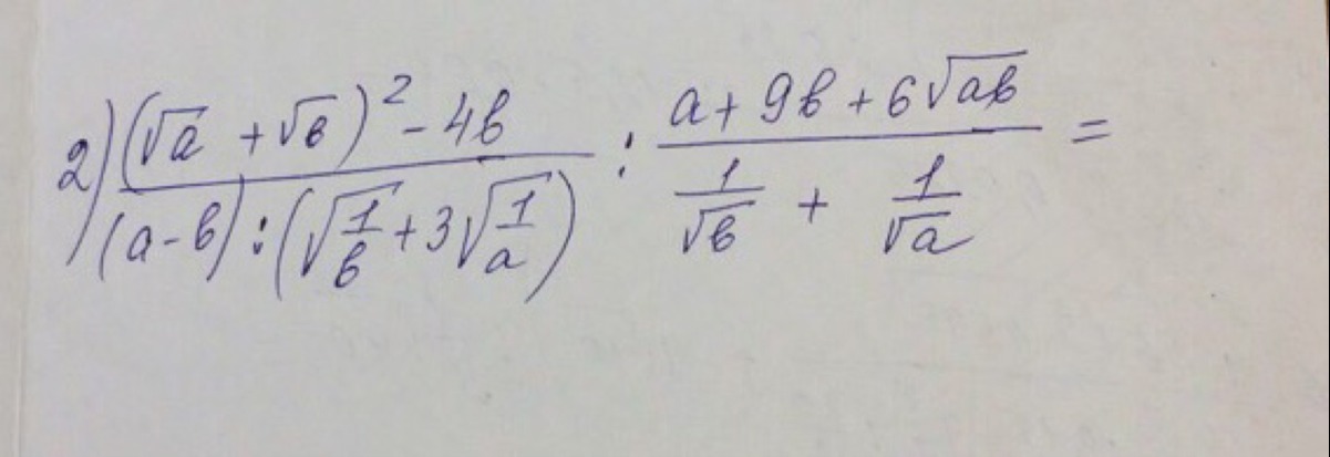
(√a+√b)^2-4b/(a-b):(√1/b+3√1/a):a+9b+6√ab/1/√b+1/√a

Приложения:

Ответы

Ответ дал: AhahaStudio
0

Извини, если написал слишком подробно некоторые моменты. Я ж не знаю, шаришь ты или нет.

Приложения:
Вас заинтересует