• Предмет: Алгебра
  • Автор: Manwelll
  • Вопрос задан 8 лет назад

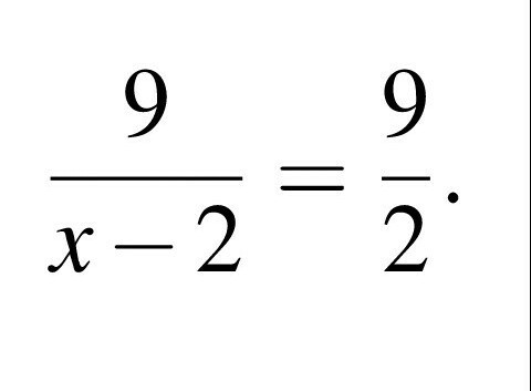
ПОМАГИТЕ ПЖ РЕШИТЬ ЗАДАЧУ!?!

Приложения:

Ответы

Ответ дал: МисьеЛеф
0

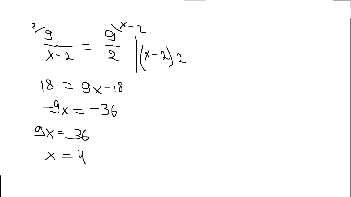
вот,тут легко вообще

Приложения:
Ответ дал: EGOIST86
0

..................................................

Приложения:
Вас заинтересует