• Предмет: Алгебра
  • Автор: vitalikmorza
  • Вопрос задан 8 лет назад

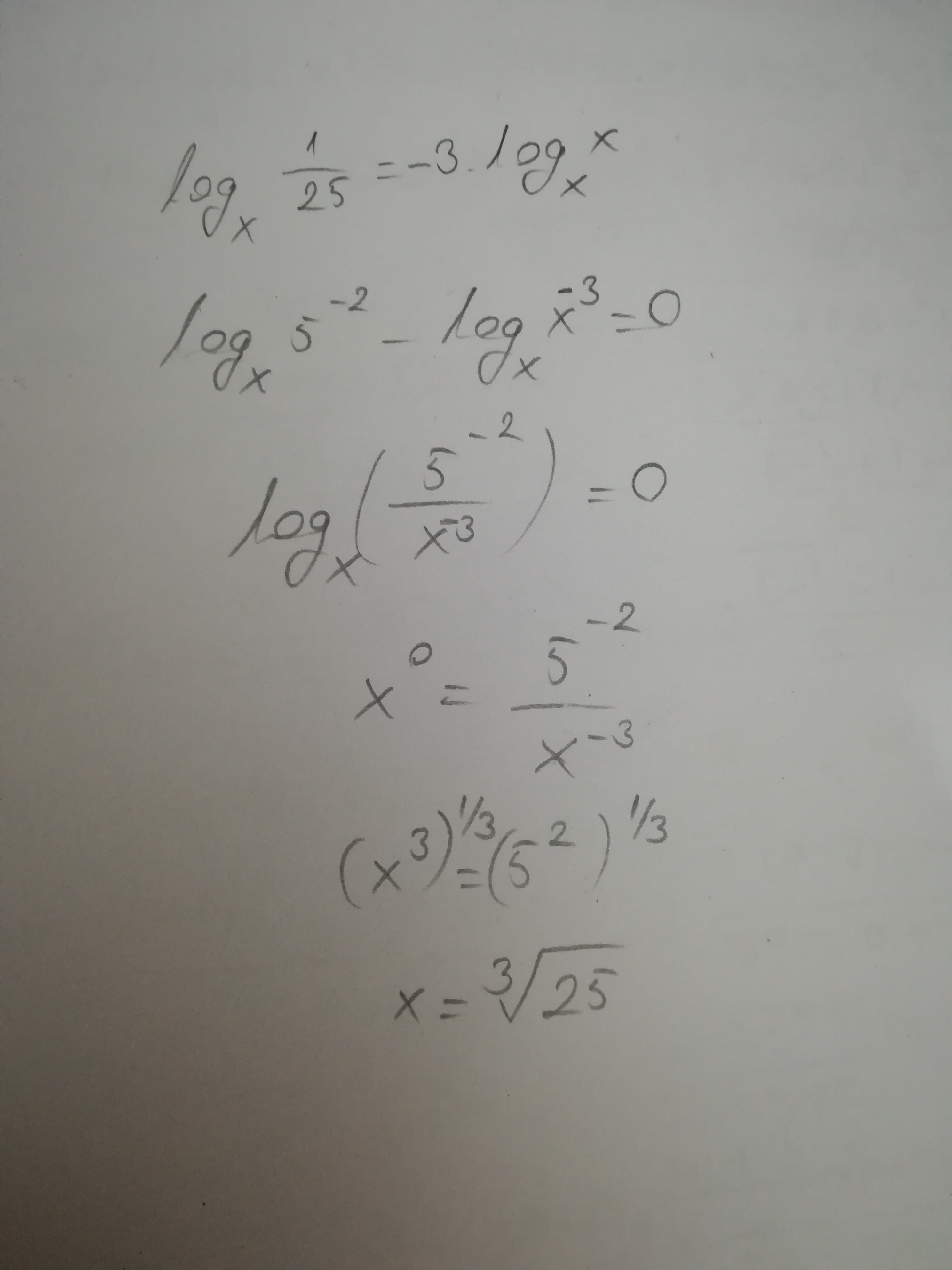
Уравнение
log x 1/25 = -3

Ответы

Ответ дал: OXILORE
0
1/25=1/x³
x³=25
x=³✓25
³✓25 подставь и проверь
Ответ дал: Mirage86
0

I hope this helps you

Приложения:
Вас заинтересует