• Предмет: Математика
  • Автор: lada2001priora
  • Вопрос задан 8 лет назад

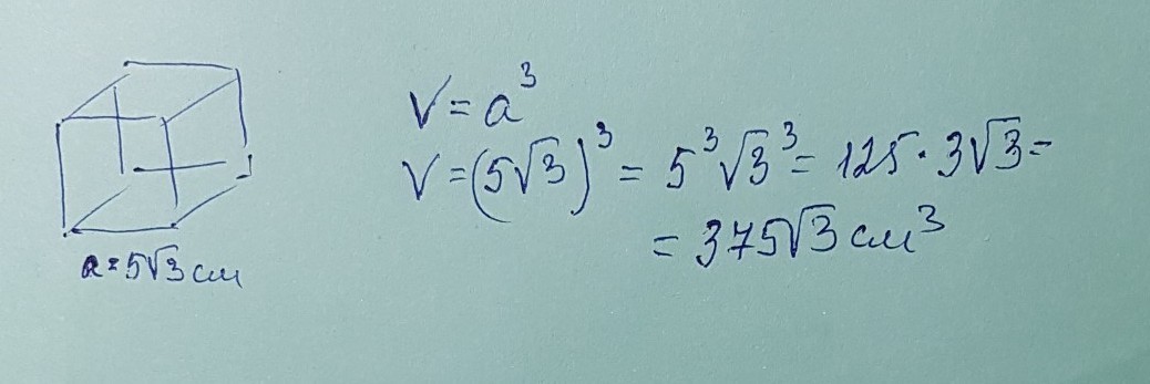
Найдите объем куба если его сторона равна 5 корень из 3см

Ответы

Ответ дал: 1233090
0
решение задания смотри на фотографии
Приложения:
Вас заинтересует