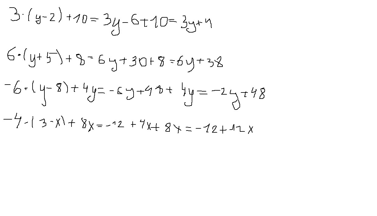
пример 3*(у-2)+10
6*(у+5)+8
-6*(у-8)+4у
-4*(3-х)+8х
ПОМОГИТЕ ПОЖАЛУЙСТА ДАМ 50 БАЛЛОВ!!!!!!!!!!!!
Ответы
Ответ дал:
0
Вот графическое решение
Приложения:

Ответ дал:
0
Или это один большой пример?
Ответ дал:
0
НЕТ
Ответ дал:
0
СПАСИБО
Ответ дал:
0
Не за что
Ответ дал:
0
спасибо ещё раз
Вас заинтересует
2 года назад
3 года назад
3 года назад
9 лет назад
9 лет назад
9 лет назад
9 лет назад