• Предмет: Алгебра
  • Автор: dan1624
  • Вопрос задан 8 лет назад

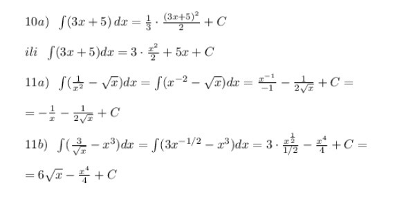
Помогите плз номер 10( 1 столбик), номер 11 (1столбик).

Приложения:

Ответы

Ответ дал: NNNLLL54
0

10); ; int (t^2-3t+1)dt=frac{t^3}{3}-3cdot frac{t^2}{2}+t+C; ;\\int (4x^3-x^2+3)dx=4cdot frac{x^4}{4}-frac{x^3}{3}+3x+C=x^4-frac{x^3}{3}+3x+C; .

Приложения:
Вас заинтересует