• Предмет: Алгебра
  • Автор: prisner
  • Вопрос задан 8 лет назад

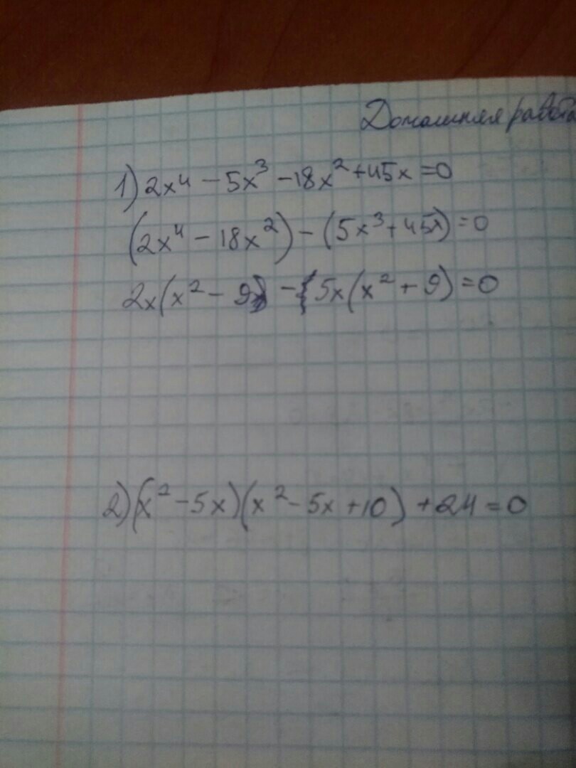
Помогите пожалуйста решить 2 примера из алгебры

Приложения:

Ответы

Ответ дал: rubilovalex
0

x^2-5x=a. получаем: a*(a+10)+24=0; a^2+10a+24=0; D=10^2-4*24=100-96=4; a1=(-10-2)/2; a2=(-10+2)/2); a1= -6; a2= -4. делаем замену: x^2-5x= -6; x^2-5x+6=0; D=(-5)^2-4*6=25-24=1; x1=(5-1)/2, x2=(5+1)/2; x1=2, x2=3.   x^2-5x= -4; x^2-5x+4=0; D=(-5)^2-4*4=25-16=9; x3=(5-3)/2, x4=(5+3)/2; x3=1, x4=4. Ответ: x1=2, x2=3, x3=1, x4=4.

Ответ дал: zinaidazina
0

1)

2х⁴ - 5х³ - 18х² + 45х = 0

(2х⁴ - 5х³) - (18х² - 45х) = 0

х³(2х - 5) - 9х(2х - 5) = 0

(2х - 5)·(х³ - 9х) = 0

(2х - 5)·х·(х² - 9) = 0

х·(2х - 5)·(х - 3)·(х + 3) = 0

х₁ = 0

2х-5=0     =>    x₂ = 2,5

x-3=0      =>   x₃ = 3

x+3=0      =>   x₄ = - 3

Ответ: {- 3;  0;  2,5;   3}

2)

(x²-5x)(x²-5x+10) + 24 = 0

Замена:

х²-5х = t

t·(t+10) + 24 = 0

t² + 10t + 24 = 0

D=100-4·1·24=100=96=4=2²

t₁=(-10-2)/2= - 6

t₂=(-10+2)/2= - 4

1) t₁= - 6

x² -5x = - 6

x² -5x + 6 = 0

D=25-4·1·6=25-24=1=1²

x₁=(5-1)/2=2

x₂=(5+1)/2=3

x₁ = 2

x₂ = 3

2) t₂ = - 4

x² -5x = - 4

x² -5x + 4 = 0

D=25-4·1·4=25-16=9=3²

x₃=(5-3)/2=1

x₄=(5+3)/2=4

x₃ = 1

x₄ = 4

Ответ: {1;  2;  3;   4}

Вас заинтересует