• Предмет: Алгебра
  • Автор: MarkUALutsk
  • Вопрос задан 8 лет назад

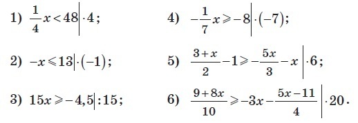
Выполните умножение или деление обеих частей неравенства в соответствии с записью:

Приложения:

Ответы

Ответ дал: AntVa
0

1) x < 192

2) x ≥ -13

3) x ≥ -0,3

4) x ≤ 56

5) 3 + 3x ≥ - 16x

x ≥ - 3/19

6) 18 + 16x ≥ - 240x  - 25x + 55

x ≥ 37/271

Вас заинтересует