• Предмет: Математика
  • Автор: liza0778
  • Вопрос задан 8 лет назад

Помогите пожалуйста
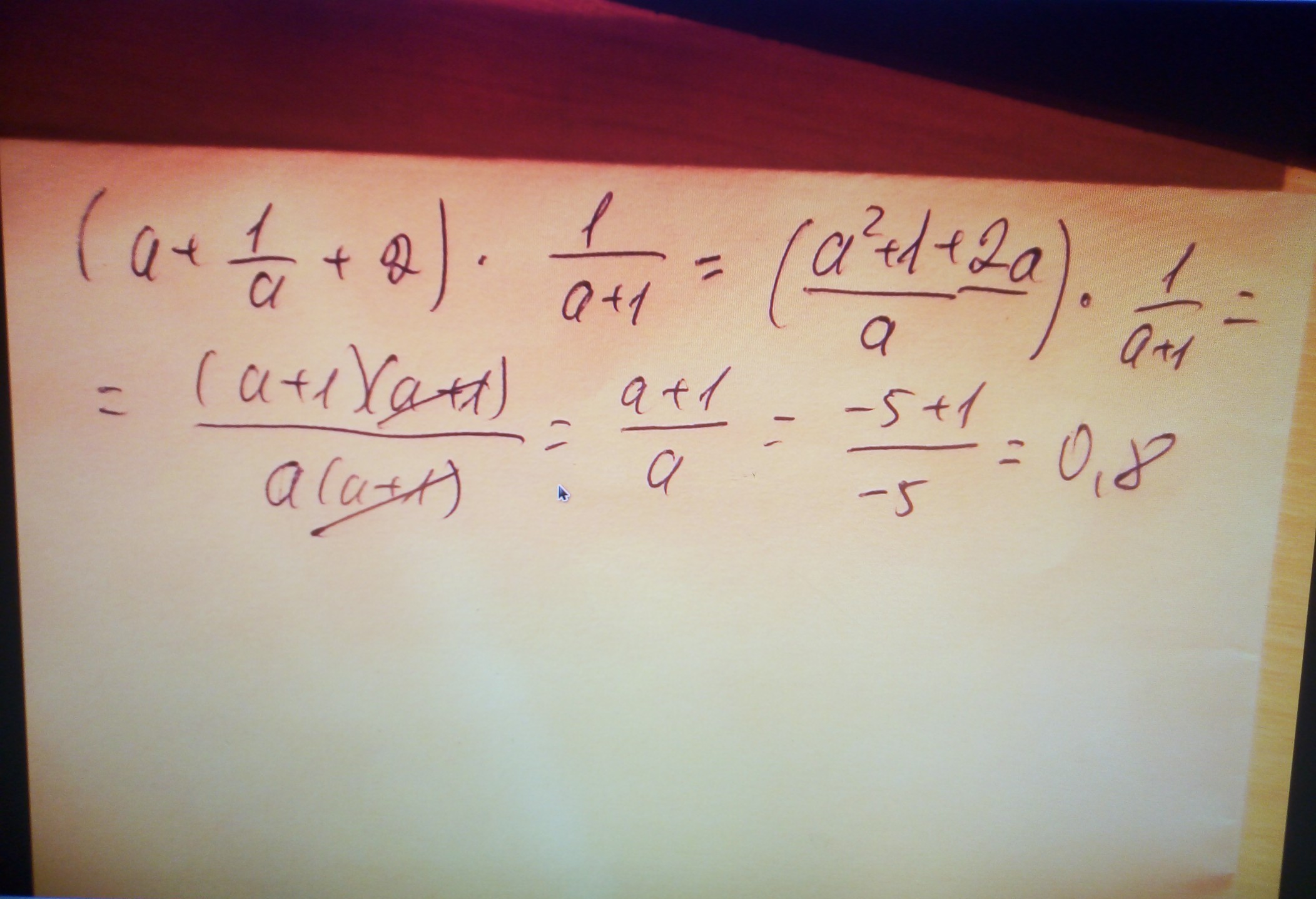
(а-1):2а-а^2-1/а+1

Ответы

Ответ дал: murmansk95
0
:D))))))))))))))))))))))
Приложения:
Вас заинтересует