• Предмет: Математика
  • Автор: VitSam
  • Вопрос задан 8 лет назад

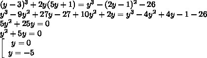
(y-3)^3+2y(5y+1)=y3-(2y-1)^2-26

Ответы

Ответ дал: nelle987
0

Раскрываем скобки, приводим подобные и получаем квадратное уравнение:

(y - 3)^3 + 2y(5y + 1) = y^3 - (2y - 1)^2 - 26\ y^3-9y^2+27y-27+10y^2+2y=y^3-4y^2+4y-1-26\5y^2+25y=0\y^2+5y=0\left[begin{array}{c}y=0\y=-5end{array}right.

Ответ дал: urt90
0

Решение на фотографии

Приложения:
Вас заинтересует