• Предмет: Алгебра
  • Автор: Аноним
  • Вопрос задан 8 лет назад

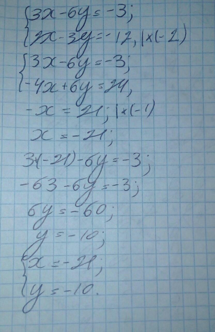
решите систему уравнений методом сложения:-3x-6y=-3 и 2x-3y=-12

Ответы

Ответ дал: jnj45893
0

Решение системы в закрепе.

Приложения:
Ответ дал: Аноним
0
спасибо
Вас заинтересует