Ответы
Ответ дал:
0
вот ответ на задание
Приложения:

Ответ дал:
0
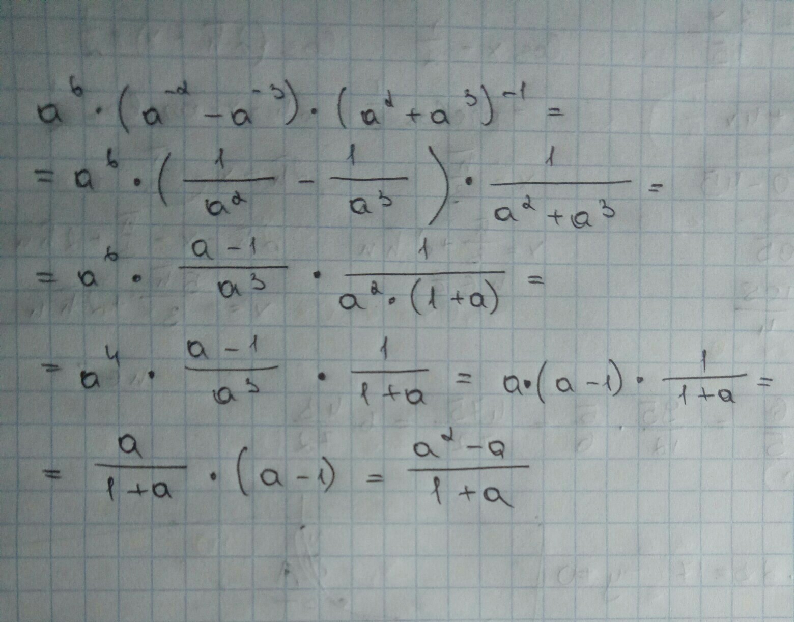
a^6*(1/a²-1/a³)*1/(a²+a³)=a^6*((a-1)/a³*
1/a²(1+a)=a(a-1)/(a+1)
1/a²(1+a)=a(a-1)/(a+1)
Приложения:

Вас заинтересует
2 года назад
2 года назад
3 года назад
3 года назад
9 лет назад
9 лет назад
9 лет назад