• Предмет: Математика
  • Автор: yanaiyana
  • Вопрос задан 8 лет назад

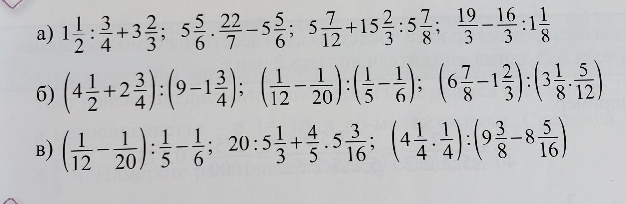
помогите пж здесь просто надо посчитать выражения помогитее пж!!!!!!очень прошу!

Приложения:

Ответы

Ответ дал: nikavelitckaya
0
какой у вас класс?я в 5 классе
Ответ дал: yanaiyana
0
6 класс
Вас заинтересует