Ответы
Ответ дал:
0
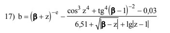
#include <cmath>
#include <iostream>
int main()
{
float beta, z;
std::cin >> beta >> z;
std::cout << "b = " << pow(beta + z, -exp(1)) - (pow(cos(pow(z, 4)), 3) + pow(tan(pow(beta - 1, -2)), 4) - 0.03f)
/
(6.51f + sqrt(abs(beta - z)) + log10(abs(z - 1))) << std::endl;
}
Приложения:

Вас заинтересует
2 года назад
3 года назад
9 лет назад