• Предмет: Информатика
  • Автор: PhyMAthematicssics
  • Вопрос задан 8 лет назад

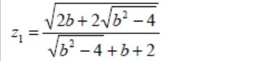
Как правильно записать это выражение в С++?

Приложения:

Ответы

Ответ дал: Browze
0

#include <iostream>

#include <cmath>


int main()

{

float b;

std::cin >> b;

std::cout << "z1 = " << (sqrt(2*b + 2*sqrt(pow(b, 2) - 4))) / (sqrt(pow(b, 2) - 4) + b + 2) << std::endl;

}

Приложения:
Вас заинтересует