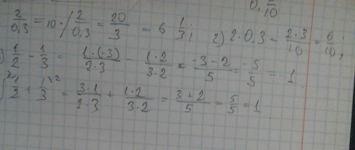
Укажите выражение, значение которого является наименьшим.
1)2/0.3 2)2*0.3 3)1/2-1/3 4)1/2+1/3
Ответы
Ответ дал:
0
,я полагаю ответ ->6 целых и треть больше чем один, или минус один
Приложения:

Вас заинтересует
3 года назад
3 года назад
9 лет назад
9 лет назад
9 лет назад