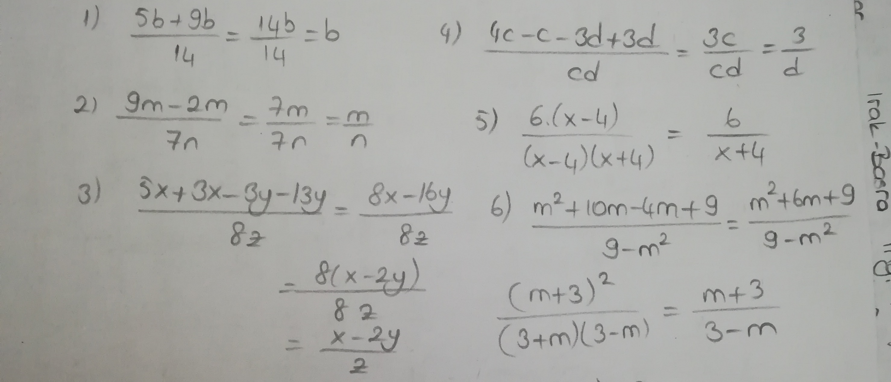
Всё номера нужно сделать. Задание 22. Написать в виде дроби. Расписать каждый номер. Спасибо, кто поможет.
Приложения:

Ответы
Ответ дал:
0
вот я решил ваш ответ
Приложения:

Ответ дал:
0
Дмирий, всё загрузилось. Если вам не трудно, можете нааести резкость? Плохое качество.
Ответ дал:
0
Дмитрий, помогите мне ещё с одним заланием. Пожалуйста
Ответ дал:
0
никак
Ответ дал:
0
Дмирий, уже всё сделал. Спасибо,за помощь
Ответ дал:
0
ч решил подробно.
Ответ дал:
0
I hope this helps you
Приложения:

Ответ дал:
0
Thank You
Ответ дал:
0
you're welcome
Вас заинтересует
2 года назад
3 года назад
3 года назад
9 лет назад
9 лет назад
9 лет назад
9 лет назад