• Предмет: Математика
  • Автор: скителZZZ
  • Вопрос задан 8 лет назад

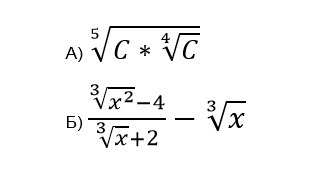
Помогите, пожалуйста, решить

Приложения:

Ответы

Ответ дал: dzeka505
0
вот как то так )))).
Приложения:
Вас заинтересует