Ответы
Ответ дал:
0
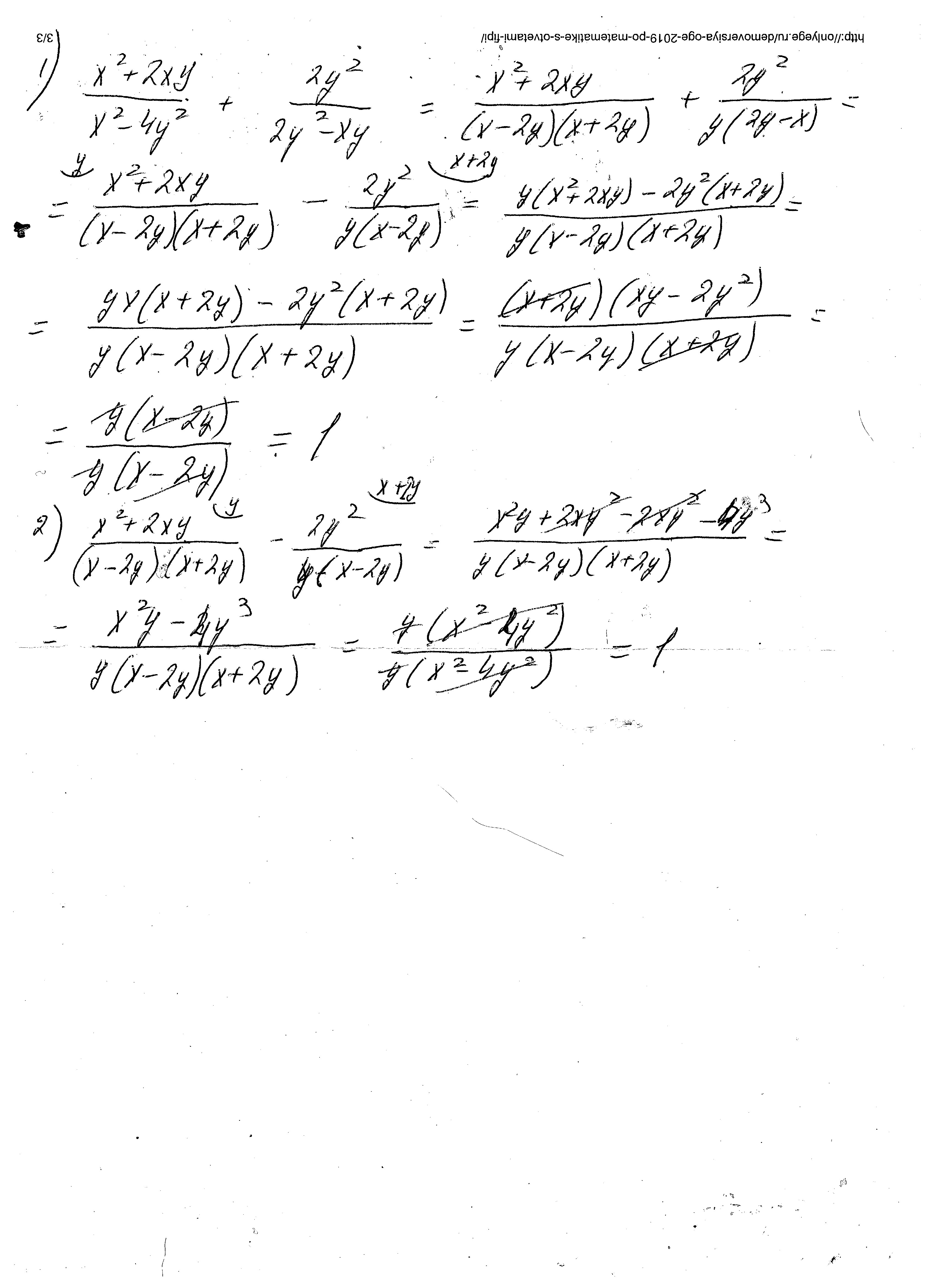
решение - в приложении
Приложения:

Вас заинтересует
2 года назад
3 года назад
9 лет назад
9 лет назад