Помогите пожалуйста написать программы по этим двум заданиям (паскаль)
1)введения целые положительные числа пока их сумма меньше 100 найдите количество целых чисел.
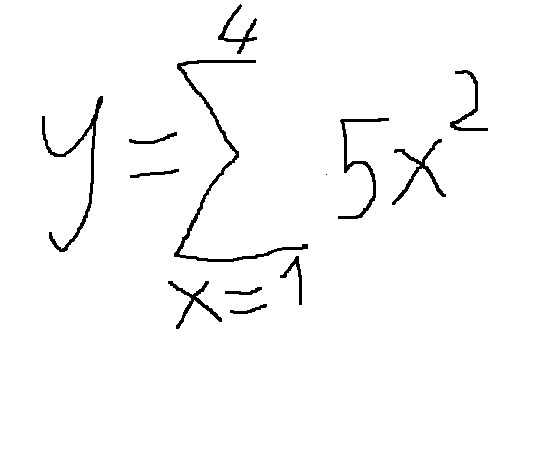
2)вычислить выражения:
Приложения:

Ответы
Ответ дал:
0
//1)
begin
var Sum := 0;
var n := 0;
var Count := 0;
while Sum < 100 do
begin
n += 1;
Sum += n;
Count += 1;
end;
Count -= 1;
Print('Count =', Count)
end.
//2)
begin
var y:=0;
for var i:=1 to 4 do
y+=5*i*i;
y.Println;
end.
Ответ дал:
0
помогите пожплуйста 7, 2,5,3. 60 БАЛЛОВ
https://znanija.com/task/29648277?utm_source=android&utm_medium=share&utm_campaign=question
https://znanija.com/task/29648277?utm_source=android&utm_medium=share&utm_campaign=question
Вас заинтересует
2 года назад
2 года назад
3 года назад
3 года назад
9 лет назад
9 лет назад