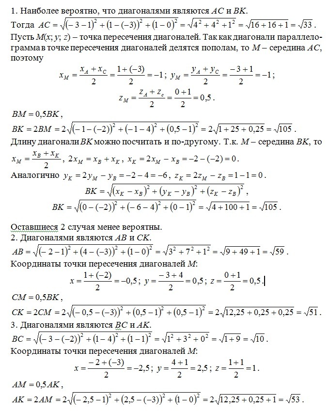
Вычислите длины диагоналей параллелограмма ABCK, если известны координаты его вершин A(1; -3; 0), B(-2; 4; 1), C(-3; 1; 1).
Ответы
Ответ дал:
0
Решение в приложении.
Приложения:

Вас заинтересует
2 года назад
2 года назад
3 года назад
3 года назад
9 лет назад
9 лет назад