Ответы
Ответ дал:
0
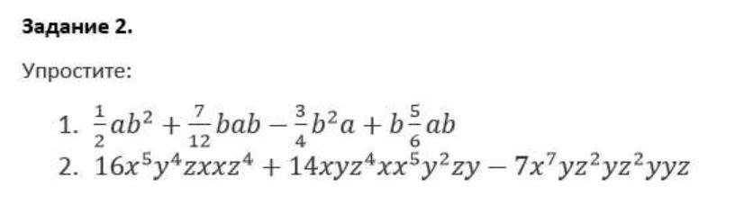
½ab²+7/12bab-¾b²а+b(5/6)ab=
=(½-¾)аb²+(7/12+5/6)ab²=¼ab²+(17/12)a²b

=(½-¾)аb²+(7/12+5/6)ab²=¼ab²+(17/12)a²b
Вас заинтересует
3 года назад
3 года назад
9 лет назад
9 лет назад
10 лет назад
10 лет назад