• Предмет: Алгебра
  • Автор: Jake105
  • Вопрос задан 8 лет назад

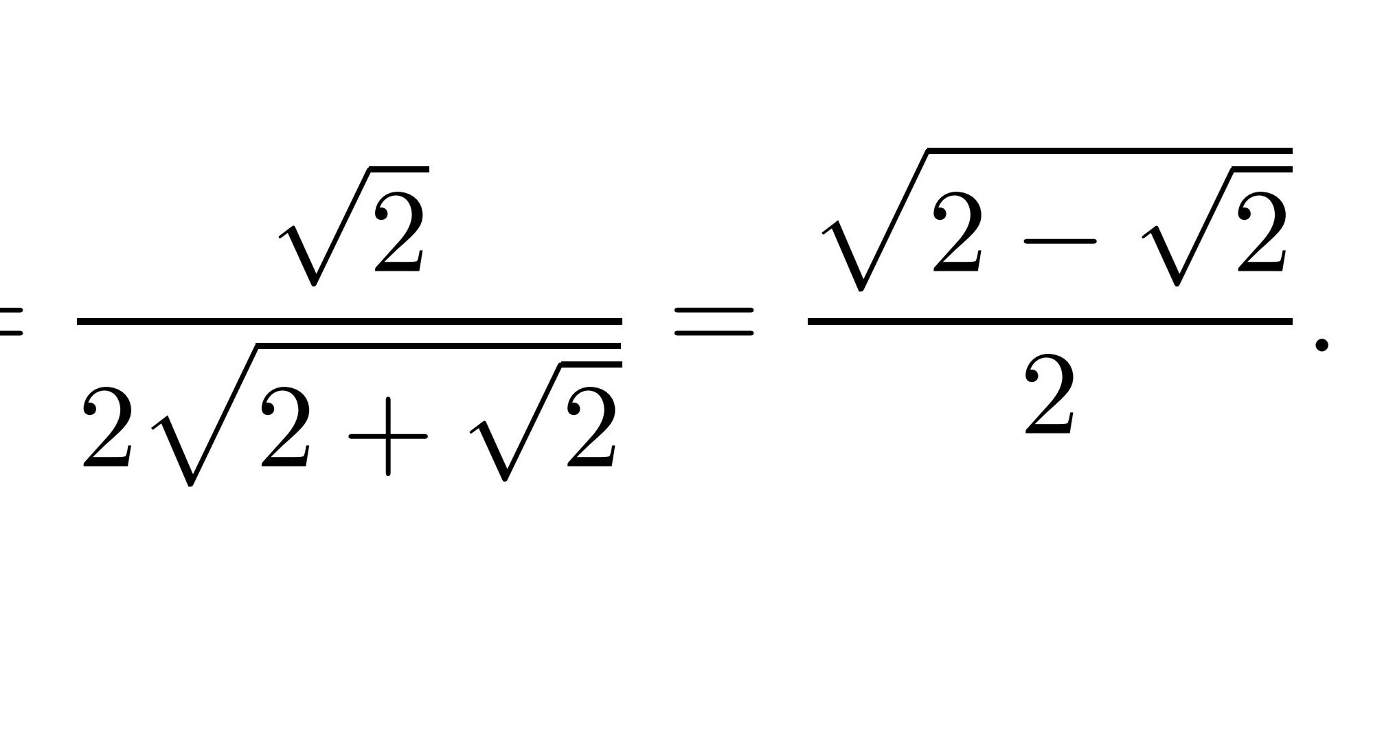
обьясните пожалуйста переход

Приложения:

Ответы

Ответ дал: dim10102806
0
√2/(2√(2+√2))=√2(√(2-√2))/(2√((2+√2)(2-√2)))=√2(√(2-√2))/(2√(4-2))=√2(√(2-√2))/(2√2)=(√(2-√2))/2, что и требовалось доказать
Ответ: доказано
Вас заинтересует