Ответы
Ответ дал:
0
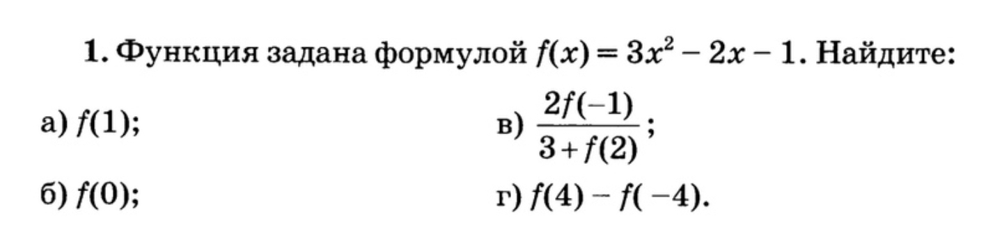
(a)
f(1)=3•1²-2•1-1=0
(б)
f(0)=3•0²-2•0-1=-1
(в)
f(-1)=3•(-1)²-2(-1)-1=3+2-1=4
f(2)=3•2²-2•2-1=12-4-1=7
2f(-1)/(3+f(2))=2•4/(3+7)=0,8
(г)
f(4)=3•4²-2(4)-1=48-8-1=39
f(-4)=3•(-4)²-2(-4)-1=48+8-1=55
f(4)-f(-4)=39-55=-16
f(1)=3•1²-2•1-1=0
(б)
f(0)=3•0²-2•0-1=-1
(в)
f(-1)=3•(-1)²-2(-1)-1=3+2-1=4
f(2)=3•2²-2•2-1=12-4-1=7
2f(-1)/(3+f(2))=2•4/(3+7)=0,8
(г)
f(4)=3•4²-2(4)-1=48-8-1=39
f(-4)=3•(-4)²-2(-4)-1=48+8-1=55
f(4)-f(-4)=39-55=-16
Ответ дал:
0
Здравствуйте, помогите пожалуйста с английским https://znanija.com/task/29649401
Вас заинтересует
3 года назад
9 лет назад
9 лет назад
10 лет назад
10 лет назад