• Предмет: Математика
  • Автор: guzal19
  • Вопрос задан 8 лет назад

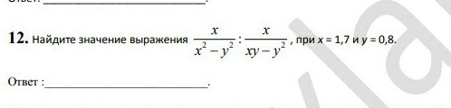
Помогите пожалуйста
как решить это?кто поможет 40баллов дам +лучший ответ

Приложения:

Ответы

Ответ дал: anastasiavolkova2109
0

Решение на листочке

:)

Приложения:
Ответ дал: saveliy200228
0

1,7/1,7'2-0,8'2:1,7/1,7*0,8-0,8'2=1,7/2,89-0,64:1,7/1,36=0,76:1,25=0,61 ну как-то так


Приложения:
Ответ дал: anastasiavolkova2109
0
Надо сначала упростить
Вас заинтересует