• Предмет: Алгебра
  • Автор: charasenpai666
  • Вопрос задан 8 лет назад

упростить
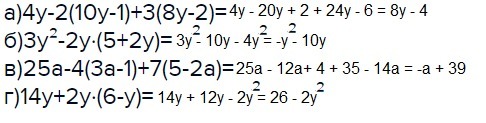
а)4y-2(10y-1)+3(8y-2)=
б)3у²-2у·(5+2у)=
в)25а-4(3а-1)+7(5-2а)=
г)14у+2у·(6-у)=

Ответы

Ответ дал: Черрника
0

держи) решение в картинке))

Приложения:
Ответ дал: charasenpai666
0
мерси
Ответ дал: charasenpai666
0
а ты где нашла решение ?
Ответ дал: Черрника
0
я сама решила
Ответ дал: charasenpai666
0
крут
Вас заинтересует