• Предмет: Физика
  • Автор: mhituga
  • Вопрос задан 8 лет назад

рассчитать количество теплоты необходимое для нагревания серебра 200 г от 10 до 80 градусов. СРОЧНООО ПОЖАЛУЙСТА !!

Ответы

Ответ дал: Аноним
0

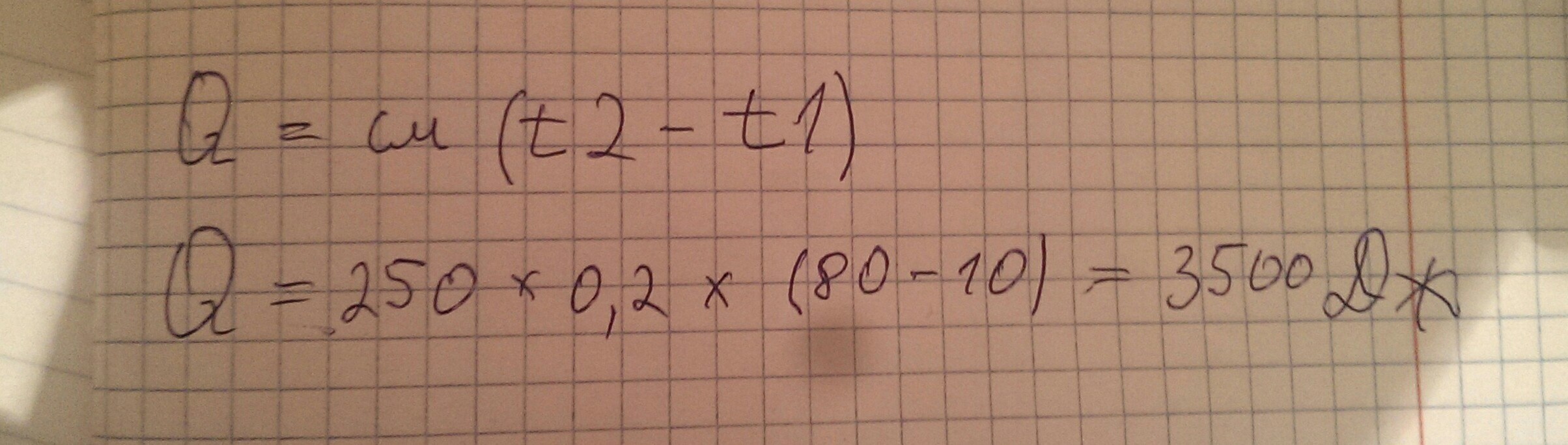
Q=cm(t2-t1)

Q=250*0,2*(80-10)=3500Дж

Ответ дал: BagumNckakos2345
0
)))))))))))))))))))))
Приложения:
Вас заинтересует