• Предмет: Физика
  • Автор: 0108219
  • Вопрос задан 8 лет назад

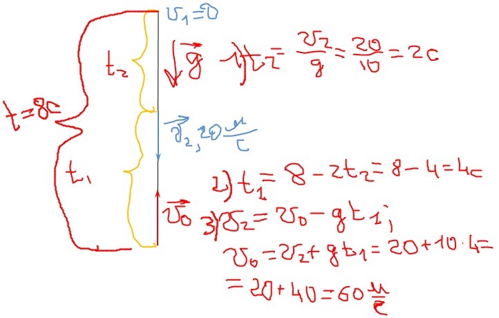
з якою початковою швидкістю слід кинути м'яч вертикально вгору, щоб через 8с він падав вниз із швидкістю 20м/с

Ответы

Ответ дал: ruslank1460
0

Розв'язок задачі у вкладенні

Приложения:
Вас заинтересует