Ответы
Ответ дал:
0
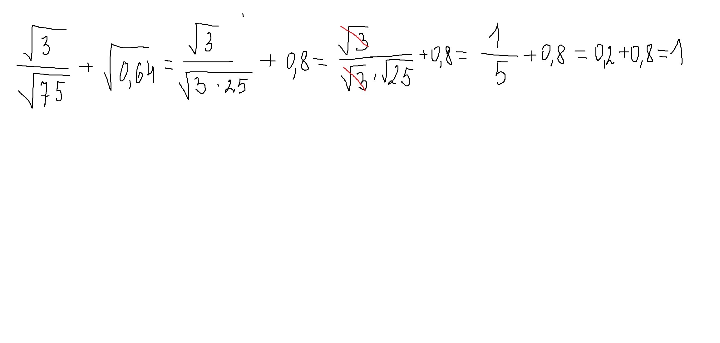
Корень из 3/5корень из 3+0,8
Ответ дал:
0
решение смотри внизу
Приложения:

Вас заинтересует
2 года назад
3 года назад
3 года назад
9 лет назад
9 лет назад