Помогите,даю 20 баллов
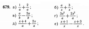
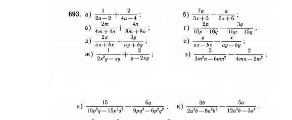
438 первый столбик , 439 первый столбик , 679 в д е , 693 а б в
Приложения:
Ответы
Ответ дал:
0
438
а) 3(a+b)
в)5(а+2)
д)6(2х+у)
ж)5(х+1)
и)3(4а+1)
л)б(а+с)
н)2а(б-3)
а)3а(4бх+3)
а) 3(a+b)
в)5(а+2)
д)6(2х+у)
ж)5(х+1)
и)3(4а+1)
л)б(а+с)
н)2а(б-3)
а)3а(4бх+3)
Ответ дал:
0
Спасибо!
Вас заинтересует
2 года назад
3 года назад
3 года назад
9 лет назад
9 лет назад
10 лет назад
10 лет назад