• Предмет: Математика
  • Автор: мальвинааааа
  • Вопрос задан 8 лет назад

помогите пожалуйста кто чем может

Приложения:

Ответы

Ответ дал: alkorb
0

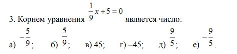
 frac{1}{9} x + 5 = 0 \  \  frac{1}{9} x =  - 5 \  \ x =  - 5: frac{1}{9}  \  \ x =  - 5 times 9 =  - 45
Ответ: г)
Вас заинтересует