• Предмет: Математика
  • Автор: мальвинааааа
  • Вопрос задан 8 лет назад

помогите пожалуйста

Приложения:

Ответы

Ответ дал: adilclan43
0
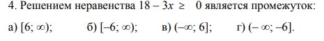
здравствуй, ответ : В
Вас заинтересует