• Предмет: Алгебра
  • Автор: таня097
  • Вопрос задан 8 лет назад

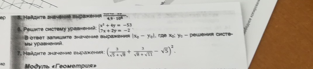
Помогите решить (6и7)

Приложения:

Ответы

Ответ дал: NNNLLL54
0

6); ; left { {{x^2+4y=-53} atop {7x+2y=-2}} right. ; left { {{x^2+4(-3,5x-1)=-53} atop {y=-3,5x-1}} right. ; left { {{x^2-14x+49=0} atop {y=-3,5x-1}} right. \\x^2-14x+49=(x-7)^2=0; ; Rightarrow ; ; x=7\\y=-3,5cdot 7-1; ,; ; y=-25,5\\Otvet:; ; (7, ;, -25,5), .

7); ; Big (frac{3}{sqrt5+sqrt8}+frac{3}{sqrt8+sqrt{11}}-sqrt5Big )^2=Big (frac{3(sqrt5-sqrt8)}{5-8}+frac{3(sqrt8-sqrt{11})}{8-11}-sqrt5Big )^2=\\=Big (-(sqrt5-sqrt8)-(sqrt8-sqrt{11})-sqrt5Big )^2=Big (-sqrt5+sqrt8-sqrt8+sqrt{11}-sqrt5Big )^2=\\=Big (sqrt{11}-2sqrt5Big )^2=11-4sqrt5cdot sqrt{11}+4cdot 5=31-4sqrt{55}\\\P.S.; ; (sqrt{a}-sqrt{b})(sqrt{a}+sqrt{b})=a-b

Вас заинтересует