• Предмет: Математика
  • Автор: jkzwcmtv
  • Вопрос задан 8 лет назад

Нужен расписанный ответ

Приложения:

Ответы

Ответ дал: ЯгодкаЯлесная
0
фоточка тебе в помощь
Приложения:
Ответ дал: 2407Alexa
0

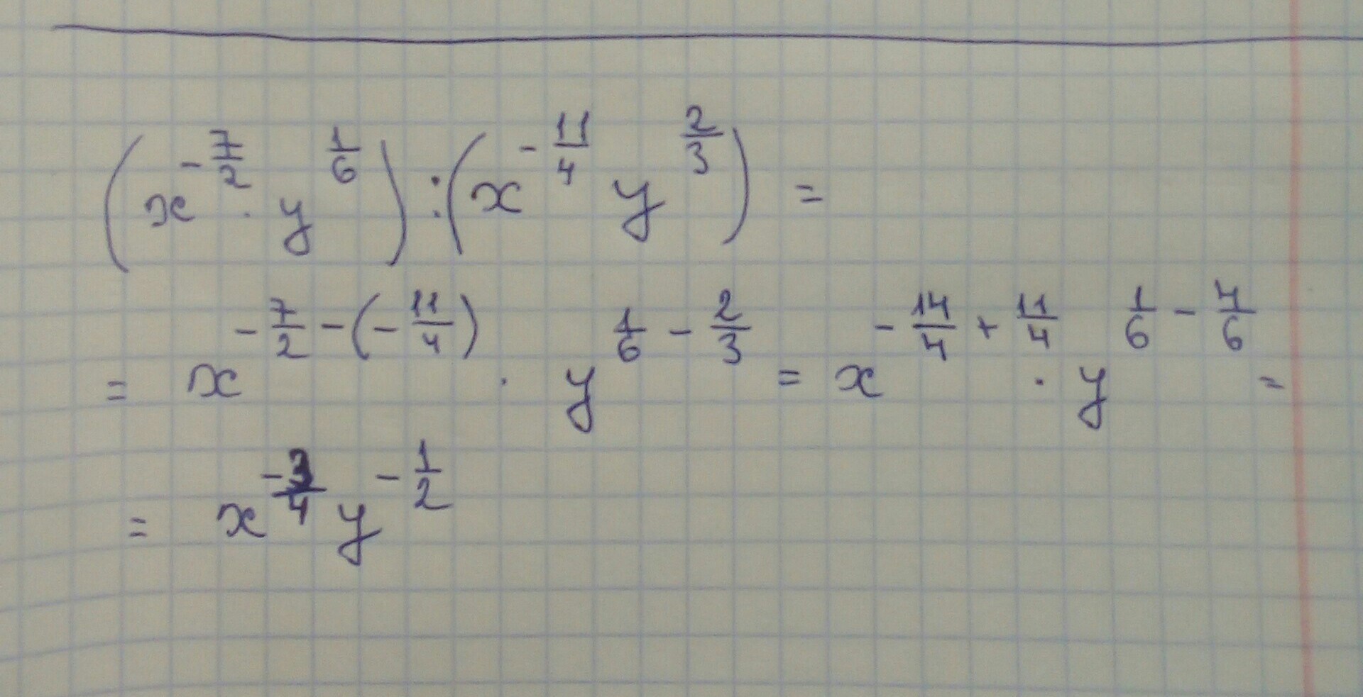
х^(-7/2)*у^(1/6):х^(-11/4)*у^(2/3)=х^(-7/2-(-11/4))*у^(1/6-2/3)=х^(-3/4)*у^(-3/6)=х^(-3/4)*у^(-1/2);


Приложения:
Вас заинтересует