• Предмет: Математика
  • Автор: Aprial
  • Вопрос задан 8 лет назад

Только прошу не списывать, решите самостоятельно!
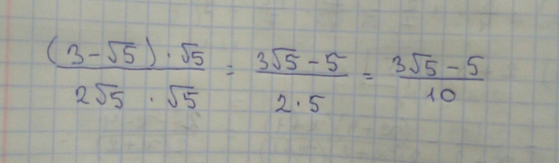
Привести к рациональному виду знаменатель дроби frac{3-sqrt{5} }{2sqrt{5} }

Ответы

Ответ дал: ЯгодкаЯлесная
0
фоточка тебе в помощь
Приложения:
Ответ дал: Aprial
0
Почему умножаем на √5, если по правилу нужно знаменатель ужножить на себя и числитель ?
Вас заинтересует