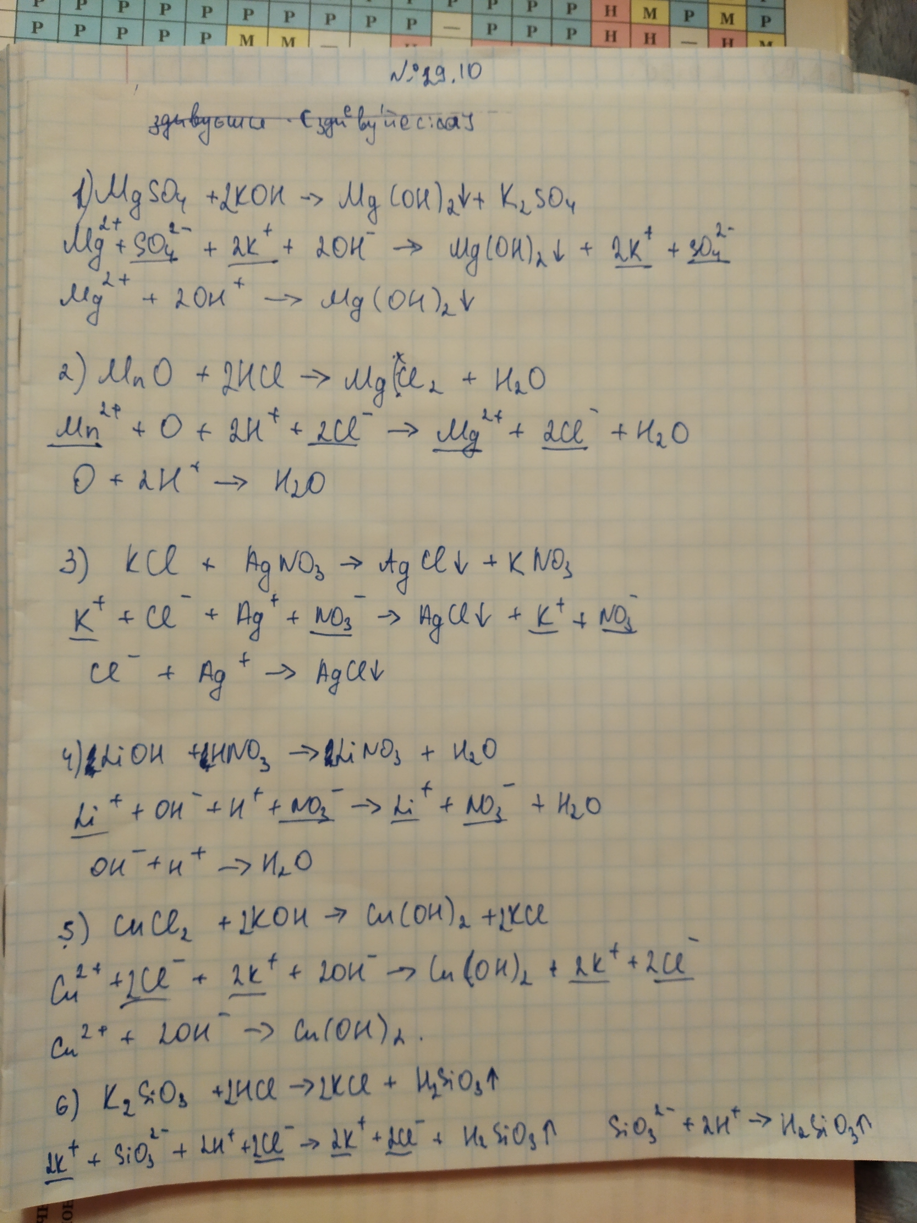
ХИМИКИ ПОМОГИТЕ ВРОДЕ ЛЕГКО НО НЕ ШАРЮ
СДЕЛАЙТЕ УРАВНЕНИЕ РЕАКЦИИ МОЛЕКУЛЯРНОЕ,ПОЛНОЕ ИОННОЕ И КРАТКОЕ ИОННОЕ ХОТЬ ПАРУ НОМЕРОВ
Приложения:

Ответы
Ответ дал:
0
Останнє я не дуже уверена. Но остальне точно))
Приложения:


Вас заинтересует
2 года назад
2 года назад
3 года назад
9 лет назад
9 лет назад