• Предмет: Математика
  • Автор: yanasklar
  • Вопрос задан 8 лет назад

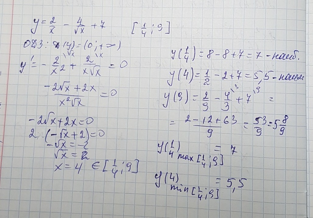
Найдите разность между y наибольшее и y наименьшее на отрезке [1/4;9] y=(2/x)-(4/корень x)+7

Ответы

Ответ дал: 1233090
0
решение задания смотри на фотографии
Приложения:
Ответ дал: 1233090
0
Спасибо за оценку
Вас заинтересует