• Предмет: Алгебра
  • Автор: nastykostina9
  • Вопрос задан 8 лет назад

Срочно!!
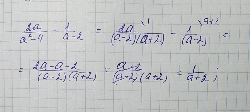
2а/а²-4-1/а-2

Ответы

Ответ дал: rubilovalex
0

2a / (a-2)*(a+2)-1/a-2=2a-a-2/(a-2)*(a+2)=(a-2) / (a-2)*(a+2)=1/(a+2). Ответ: 1/(a+2). наименьший общий знаменатель: (a-2)*(a+2). дополнительные множители: для первой дроби 1, для второй дроби (a+2).

Ответ дал: 1233090
0
решение задания смотри на фотографии
Приложения:
Вас заинтересует