• Предмет: Алгебра
  • Автор: leazow64
  • Вопрос задан 8 лет назад

№4 пожалуйста будьте добры с решением)

Приложения:

Ответы

Ответ дал: wgwgwcom
0

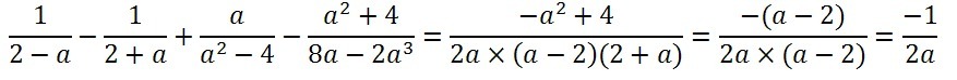
Подробнее будет очень трудно писать

Приложения:
Вас заинтересует