• Предмет: Математика
  • Автор: Leralera567
  • Вопрос задан 8 лет назад

здесь всё ясно, даю где-то 10 баллов, может меньше

Приложения:

Ответы

Ответ дал: sofiya8027
0
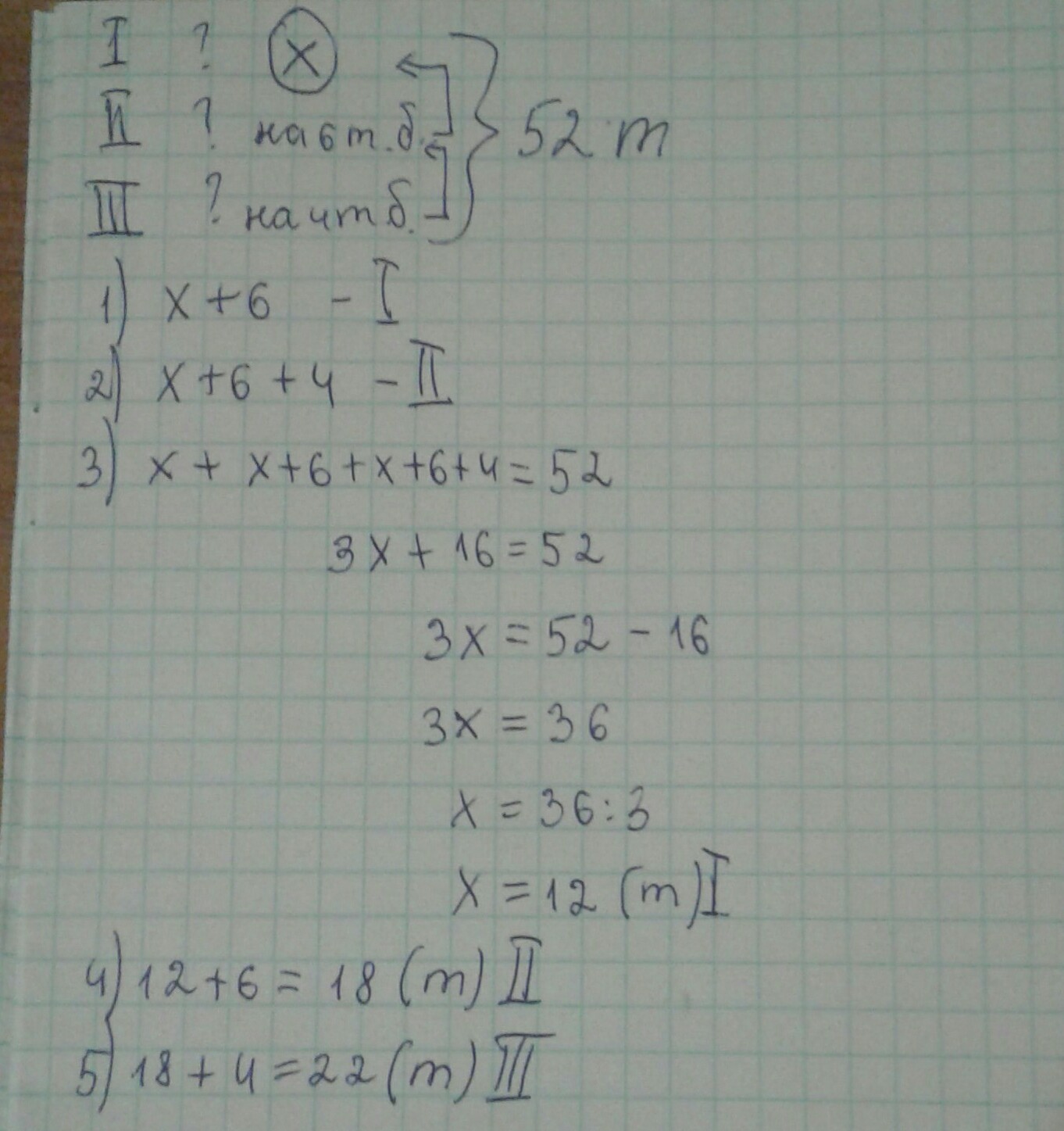
первое это х........
Приложения:
Ответ дал: Leralera567
0
спасибо большое ❤
Ответ дал: sofiya8027
0
пожалуйста)
Ответ дал: Leralera567
0
только обьясните , можно ли задачу решить без х?
Вас заинтересует