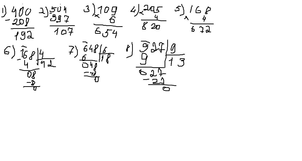
Помогите решить столбиком 400-208 504-397 109*6 205*4 168*4 168:4 648:6
927 :9. ( я устала бошка не работает я хочу спать..)
Ответы
Ответ дал:
0
400-208=192; 504-397= 125 ; 109*6=654; 205*4=820; 168*4=672; 168:4=42; 648:6=108; 927:9= 103
Ответ дал:
0
столбиком....
Ответ дал:
0
Вот, надеюсь ты поймешь))
Приложения:

Ответ дал:
0
Шикарно (XD)
Ответ дал:
0
хех
Ответ дал:
0
у тебя вк есть?
Вас заинтересует
2 года назад
2 года назад
3 года назад
3 года назад
9 лет назад