• Предмет: Физика
  • Автор: Ti2003tova
  • Вопрос задан 8 лет назад

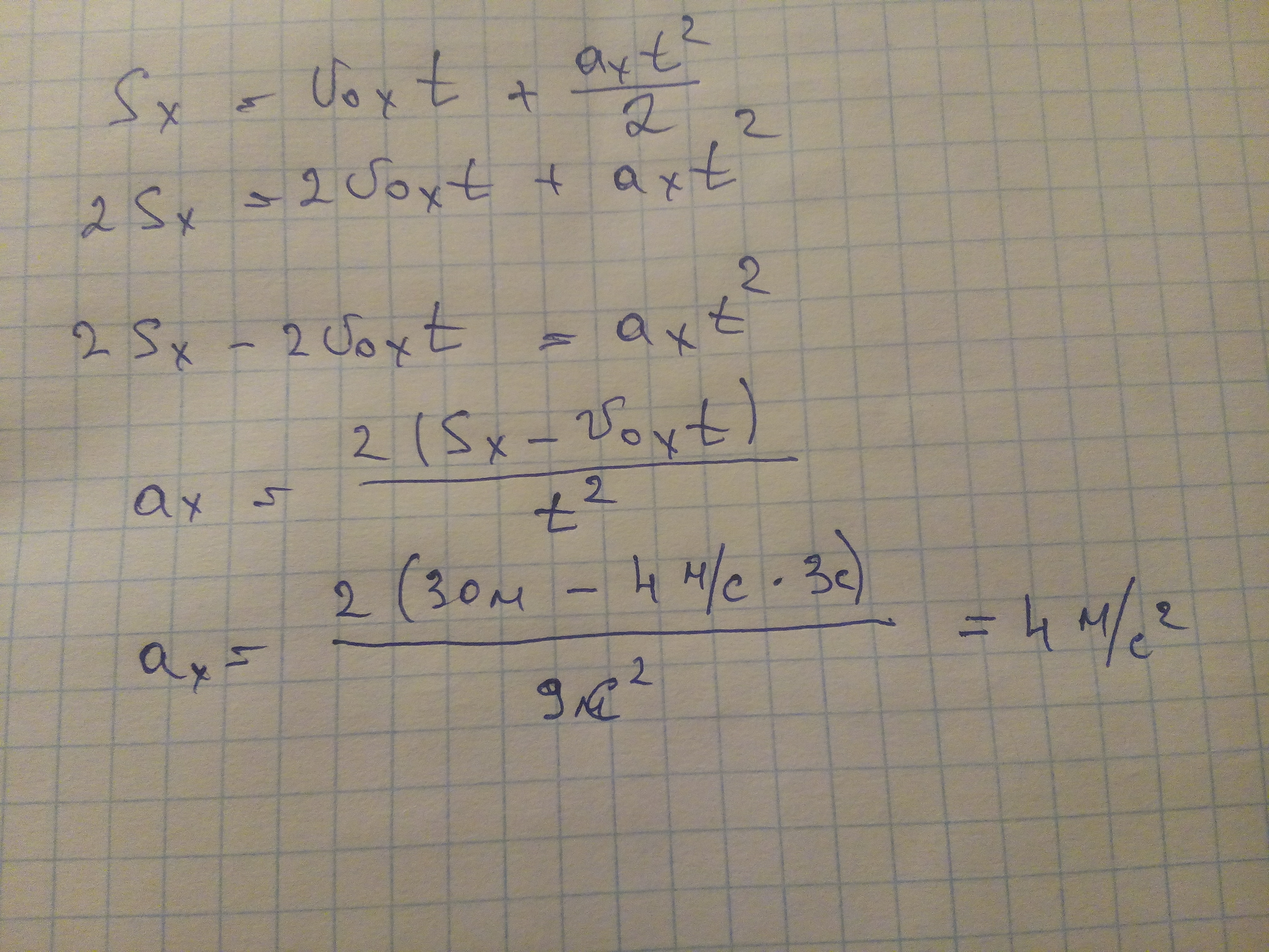
Проекция перемещения тела за первые три секунды равна Sx=30м,проекция начальной скорости v0x=4м/с.Проекция его ускорения
А)2м/с^2; б)4м/с^2; в)4/3 м/с^2

Ответы

Ответ дал: Nexebool
0

решение на фото. Удачи

Приложения:
Ответ дал: Ti2003tova
0
Этот ответ не подходит(
Вас заинтересует