Дам 30 баллов, пожалуйста решите!!!
Напишите решиние и ответ, буду очень признательна!!!
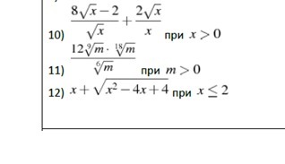
Приложения:

Ответы
Ответ дал:
0
Ответ дал:
0
и получается ответ
Ответ дал:
0
у тебя еще сколько есть свободного времени? и захочешь ли еще сделать примеры ?
Ответ дал:
0
времени мало
Ответ дал:
0
желание есть
Ответ дал:
0
желание это хорошо, но задерживать не буду, время позднее) спасибо тебе большое, выручил)
Вас заинтересует
2 года назад
2 года назад
3 года назад
3 года назад
9 лет назад
9 лет назад
9 лет назад