Ответы
Ответ дал:
0
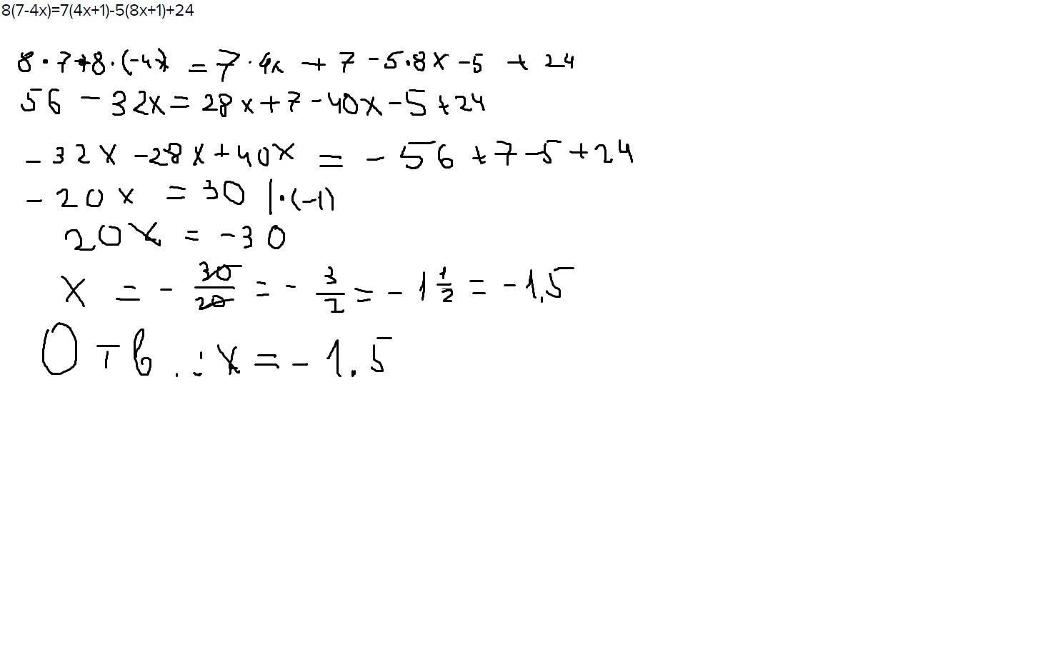
8(7-4х)=7(4х+1)-5(8х+1)+24
56-32х=28х+7-40х-5+24
-32х-28х+40х=7-5+24-56
-20х=-30
х=-30÷(-20)
х=1.5
56-32х=28х+7-40х-5+24
-32х-28х+40х=7-5+24-56
-20х=-30
х=-30÷(-20)
х=1.5
Ответ дал:
0
А я сама решала попробуй сама решить
Ответ дал:
0
в Photomath все по другому решается
Ответ дал:
0
если не нравится то не пиши
Ответ дал:
0
ой извини не так поняла
Ответ дал:
0
значит ты все это делала не своим умом а в приложении Photomath
Ответ дал:
0
...............................................................................
Приложения:

Вас заинтересует
2 года назад
2 года назад
3 года назад
3 года назад
9 лет назад
9 лет назад
9 лет назад