• Предмет: Алгебра
  • Автор: zhidelevairina13
  • Вопрос задан 8 лет назад

Дам 40 баллов, пожалуйста, очень очень прошу, решите!!!
Напишите решиние и ответ, буду очень признательна!!!

Приложения:

Ответы

Ответ дал: NNNLLL54
0

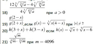
18); ; a>0; ,; ; frac{12sqrt[6]{sqrt[21]{a}}-4sqrt[7]{sqrt[18]{a}}}{4sqrt[3]{sqrt[42]{a}}}=frac{12sqrt[126]{a}-4sqrt[126]{a}}{4sqrt[126]{a}}=frac{8sqrt[126]{a}}{4sqrt[126]{a}}=2\\19); ; g(x)=sqrt[3]{x(4-x)}; ,; ; |x|ne 2\\g(2-x)=sqrt[3]{(2-x)(4-(2-x))}=sqrt[3]{(2-x)(2+x)}=sqrt[3]{4-x^2}\\g(2+x)=sqrt[3]{(2+x)(4-(2+x))}=sqrt[3]{(2+x)(2-x)}=sqrt[3]{4-x^2}\\frac{g(2-x)}{g(2+x)}=frac{sqrt[3]{4-x^2}}{sqrt[3]{4-x^2}}=1

20); ; h(x)=sqrt[9]{x}+sqrt[9]{x-6}\\h(3+x)=sqrt[9]{3+x}+sqrt[9]{3+x-6}=sqrt[9]{3+x}+sqrt[9]{x-3}\\h(3-x)=sqrt[9]{3-x}+sqrt[9]{3-x-6}=sqrt[9]{3-x}+sqrt[9]{-3-x}=\\=sqrt[9]{3-x}-sqrt[9]{3+x}\\h(3+x)+h(3-x)=sqrt[9]{3+x}+sqrt[9]{x-3}+sqrt[9]{3-x}-sqrt[9]{3+x}=\\=sqrt[9]{x-3}+sqrt[9]{-(x-3)}=sqrt[9]{x-3}-sqrt[9]{x-3}=0\\21); ; m=4096\\frac{sqrt{m}}{sqrt[4]{m}cdot sqrt[12]{m}}=frac{m^{1/2}}{m^{1/4}cdot m^{1/12}}=frac{m^{1/2}}{m^{1/4+1/12}}=frac{m^{1/2}}{m^{1/3}}=m^{1/2-1/3}=m^{1/6}=\\=4096^{frac{1}{6}}=(4^6)^{1/6}=4

Вас заинтересует