• Предмет: Алгебра
  • Автор: afasfsdf
  • Вопрос задан 8 лет назад

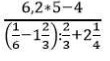
Докажите, что не имеет смысла выражение: 6,2*5-4 / (1/6-1 2/3):2/3+2 1/4

Приложения:

Ответы

Ответ дал: denisfor
0
выражение не имеет смысла когда знаменатель равен нулю, следовательно
Приложения:
Вас заинтересует