Ответы
Ответ дал:
0
фоточка тебе в помощь
Приложения:

Ответ дал:
0
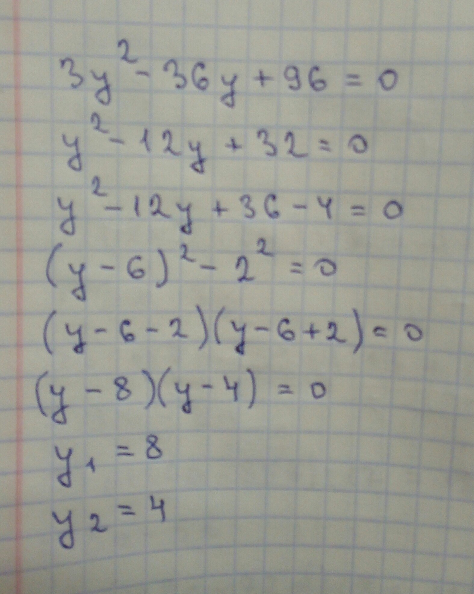
-3y²+36y-96=0| :(-3)
y²-12y+32=0
D= 144-4*32=144-138=16
√16= 4
y1,2= 12±4/2
y1= 8, y2=4
y²-12y+32=0
D= 144-4*32=144-138=16
√16= 4
y1,2= 12±4/2
y1= 8, y2=4
Приложения:

Вас заинтересует
2 года назад
3 года назад
3 года назад
9 лет назад
9 лет назад
9 лет назад