• Предмет: Алгебра
  • Автор: nikita2004yes
  • Вопрос задан 8 лет назад

помогите даю 10 баллов

Приложения:

Ответы

Ответ дал: elena20092
0

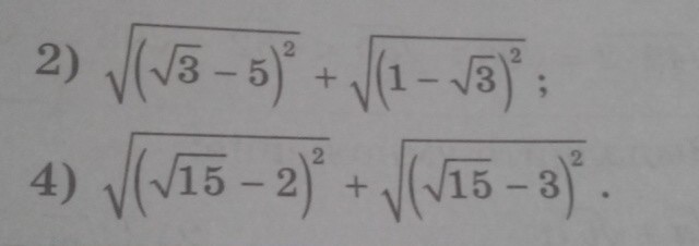
2) √(√3 - 5)² + √(1 - √3)² = 5 - √3 + √3 - 1 = 4

4) √(√15 - 2)² + √(√15 - 3)² = √15 - 2 + √15 - 3 = 2√15 - 5

Ответ дал: nikita2004yes
0
ииииииииии
Ответ дал: nikita2004yes
0
ббббббб
Ответ дал: nikita2004yes
0
оооооооо
Ответ дал: nikita2004yes
0
Спасибо
Ответ дал: nikita2004yes
0
спасибо спасибо спасибо спасибо спасибо спасибо спасибо спасибо спасибо спасибо спасибо
Вас заинтересует